儀器正常運行期間,分別測定化學需氧量(CODCr)濃度值約為40 mg/L、100 mg/L、160 mg/L 的三種標準溶液,每種溶液連續測定n(n=6)次,n(n=6)次測定值的平均值相對于標準溶液的質量濃度值的相對誤差。按公式(1)計算各次示值誤差Re。

式中: Re ——示值誤差,%;
x ——每個濃度n 次測量平均值,mg/L;
P——化學需氧量(CODCr)標準溶液的質量濃度值,mg/L。
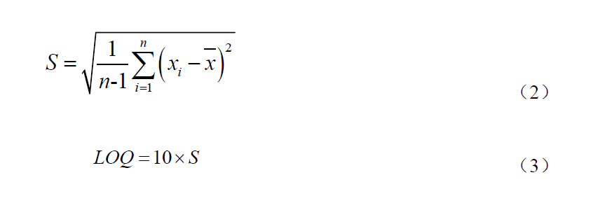
儀器正常運行期間,連續測定化學需氧量(CODCr)濃度值約為15 mg/L 的標準溶液n(n=7)次,按照公式(1)計算n(n=7)次測定值的示值誤差Re,按照公式(2)計算n(n=7)次測定值的標準偏差S,按照公式(3)計算儀器的定量下限LOQ。

式中:S—— n 次測定值的標準偏差,mg/L;
n ——測量次數;
x i ——第i 次測定值,mg/L;
x ——標準溶液測量值的平均值,mg/L。
LOQ——定量下限,mg/L。
儀器正常運行期間,分別測定化學需氧量(CODCr)濃度值約為40 mg/L、160 mg/L 的標準溶液,每種標準溶液連續測定n(n=6)次,按公式(4)計算每種濃度的n(n=6)次測定值的相對標準偏差Sr,取兩次相對標準偏差最大值作為儀器重復性的檢測結果。

式中: Sr ——重復性,%;
x ——n 次測量平均值,mg/L;
x i ——第i 次測量值,mg/L;
n——測定次數。
24 h 低濃度漂移
儀器正常運行期間,測定化學需氧量(CODCr)濃度值約為30 mg/L 的標準溶液,1 h測試一次,連續測定24 h。采用該時間內的初期值(最初的3 次測定值的平均值)Z0,計算Zi 與Z0 的偏差,取最大偏差為24 h 低濃度漂移的檢測結果。計算方式見公式(5)。

式中:ZD——24 h 低濃度漂移,mg/L;
Zi——第i 次測量值,mg/L;
Z0——最初3 次測定值的平均值,mg/L。
儀器正常運行期間,測定化學需氧量(CODCr)濃度值約為160 mg/L 的標準溶液,1 h測試一次,連續測定24 h。采用該時間內的初期值(最初的3 次測定值的平均值)R0,計算Ri 與R0 偏差絕對值的平均值相對于檢測范圍上限值的百分率為24 h 高濃度漂移RD。計算方法見公式(6)。

式中:RD——24 h 高濃度漂移,%;
Ri——第i 次測量值,mg/L;
R0——最初3 次測量值的平均值,mg/L;
R——檢測范圍上限值,mg/L;
n——測定次數。
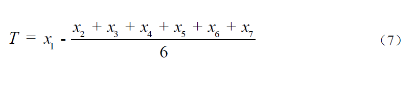
儀器正常運行期間,儀器連續測量3 次化學需氧量(CODCr)濃度值約為160 mg/L 的標準溶液后(測定結果不作考核),再依次測量濃度值約為40 mg/L 和160 mg/L 的標準溶液各7 次,分別計算兩個濃度的標準溶液第1 次測量值與后6 次測量平均值的差值為記憶效應T,計算方法見公式(7),其中絕對值作為記憶效應的判定值。

式中:T——記憶效應,mg/L;
xi——第i 次測量值,mg/L。
儀器正常運行期間,采用化學需氧量(CODCr)濃度約為160 mg/L 的標準溶液,儀器在初始電壓220 V 條件下測試3 次;調節電壓至242 V,測定同一標準溶液3 次;再次調節電壓至198 V,測定同一標準溶液3 次,以220 V 條件下3 次測量值平均值為Vs,按照公式(8)分別計算242 V 和198 V 條件下3 次測量值的平均值Vi 相對于Vs 的相對誤差ΔV,其中絕對值較大者作為電壓影響試驗的判定值。

式中:ΔV ——電壓影響,%;
Vi——某電壓條件下3 次測量值的平均值,mg/L;
Vs——220V 下3 次測量的平均值,mg/L。
儀器正常運行期間,采用不含氯離子的化學需氧量(CODCr)濃度約為40 mg/L、100 mg/L和160 mg/L 的標準溶液,以及含有氯離子的(ρ(Cl-)=2000 mg/L)化學需氧量(CODCr)濃度約為40 mg/L、100 mg/L 和160 mg/L 的標準溶液。在個濃度水平下,先測定不含氯離子的標準溶液3 次,以該3 個數據的平均值為基準值Ds,再測定含有氯離子的標準溶液3次,以該3 個數據的平均值為Di,按照公式(9)分別計算不同濃度水平下的氯離子影響ΔD,取其中絕對值最大值作為氯離子影響試驗的判定值。

式中:?D——氯離子影響,%;
Di——含有氯離子標準溶液3 次測定值平均值,mg/L;
Ds——不含氯離子標準溶液測定值,mg/L。