COD作為水質檢測中常用性指標之一,通過檢測水體中的COD參數可以了解到有機還原性物質的含量。從而判斷水體是否受到有機物污染。
判斷水體中COD的數值有很多方法可以使用,不過目前分光光度法是應用比較廣泛的COD快速檢測手段之一。 但想要保證檢測參數的準確性,除了在使用操作時要嚴格按照相關要求,還要了解和掌握儀器的性能。一般針對儀器的性能有以下要求:消解時間、溫度的示值誤差和均勻性,吸光度的穩定性,測量重復性和誤差,電壓的穩定性,絕緣抗阻等。可能會有人認為講的這些太專業,其實以上說的性能參數可以從儀器廠家了解到,還有就是可以通過相關的實驗來確定。今天與大家一起了解一下COD
水質檢測儀的這些性能實驗方法。
COD水質檢測儀相關性能實驗方法
消解時間示值誤差
將消解器消解時間設置為工作消解時間,當按消解器定時功能啟動時,同時啟動電子秒表,當定時結束時,停止計時,重復測定3次,計算平均值。按照相關公式計算出儀器的消解時間示值誤差。
消解溫度均勻性
將消解器控制溫度設置到消解溫度,啟動消解器,待顯示溫度穩定后,根據消解器消解孔的個數,均勻選取6-9個消解孔(保證中間孔和四周的孔均能夠檢測到),用電子溫度計分別測量消解孔的溫度,每個消解孔間隔1min讀取1個數,共讀取3次,計算3次測量值的算術平均值Ti。選取Ti的最大值Tmax和最小值Tmin,按照相關公式計算消解溫度均勻性。
消解溫度示值誤差
將消解器控制溫度設置到消解溫度,啟動消解器,待顯示溫度穩定后,根據消解器消解孔的個數,均勻選取6-9個消解孔(保證中間孔和四周的孔均能夠測到),用電子溫度計測量消解孔的溫度,每個消解孔間隔1min讀取1個數,共讀取3次,計算3次測量值的算術平均值Ti,按照公式計算各個Ti與設置溫度T的示值誤差Ti,取最大示值誤差Tmax為消解溫度示值誤差。
測量重復性
分別測定COD濃度為30mg/L、50mg/L、200mg/L、500mg/L、800mg/L的試驗液,每種濃度試驗液重復測定6次,按照相關公式計算6個測定值的標準偏差S及相對標準偏差RDS,取RDS的最大值作為測定儀的測量重復性。
測量誤差
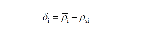
分別測定COD濃度為30mg/L、50mg/L、200mg/L、500mg/L、800mg/L的試驗液,每種濃度試驗液重復測定3次并計算算術平均值。當試驗液COD濃度大于等于50mg/L時,按照相應公式計算出誤差數值。

如果試驗液濃度小于50mg/L時需要按照另外的公式進行計算。

式中:d
i ——第 i 種濃度試驗液的測量誤差;
r
i ——第 i 種濃度試驗液的測試值均值,mg/L;
r
si ——第 i 種濃度試驗液的濃度值,mg/L。
電壓穩定性
采用COD濃度為200mg/L的標準溶液,快速測定儀在220V電壓下測試3次,計算3次測定值的算術平均值Vs,調節電壓至242V和198V,分別測定同一標準溶液各3次,計算198V、242V條件下3次測定值的算術平均值Vi,按照公式計算。由于電壓變化引起的相對誤差V,其中絕對值較大者作為電壓穩定性的判定值。
絕緣阻抗
在正常環境條件下,關閉消解儀、光度計電路,采用兆歐表測量電源相與機殼(接地端)之間的絕緣阻抗。
吸光度示值穩定性
以空氣為參比,在工作波長下,測量并記錄儀器的初始吸光度示值,然后在5min、10min、15min、20min、25min、30min后分別記錄儀器吸光度示值一次,記錄六個吸光度Ai,按公式計算吸光度示值穩定性A。
水質檢測儀器 cod水質檢測儀器 便捷式水質檢測儀器 在線水質檢測儀器 水質分析儀器價格 水質分析儀器 多功能水質分析儀器 實驗室水質分析儀器 水質實驗室分析儀器 水質分析檢測儀器 水質檢測分析儀器 便攜式水質分析儀器 水質多參數分析儀器 便攜式水質檢測儀器 便攜式多參數水質分析檢 測儀 便攜式多功能水質測定儀 便攜式多功能水質檢測儀 便攜式水質氨氮檢測儀 便攜式水質檢測儀廠家 便攜式多功能水質檢測儀器 便攜式檢測水質 儀器 實驗室水質快速檢測儀 水質快速檢測儀器 快速多參數水質檢測儀